Clara™ Probe Mix
Clara™ Probe Mix là giải pháp mới nhất cho qPCR. Với kết quả rõ ràng và nhất quán, hỗn hợp qPCR tiên tiến này sẽ hợp lý hóa khối lượng công việc PCR thời gian thực của bạn bất kể ứng dụng là gì.
Clara™ Probe Mix là hỗn hợp qPCR thế hệ tiếp theo được thiết kế để mang lại cho bạn kết quả đáng tin cậy với độ nhạy vượt trội. Công thức 4x được tối ưu hóa này được thiết kế để mang lại độ tin cậy tối đa trong cả xét nghiệm đơn và xét nghiệm ghép kênh. Nó phù hợp để phát triển xét nghiệm chẩn đoán và nghiên cứu cơ bản, đồng thời tương thích phổ biến với tất cả các loại đầu dò và dụng cụ qPCR.
Đặc trưng
- Định dạng trộn 4x đậm đặc, lý tưởng cho các xét nghiệm có thông lượng cao, đa kênh cao
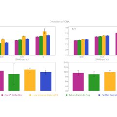
- Phát hiện vượt trội các mục tiêu DNA
- Định lượng đáng tin cậy số lượng mẫu thấp
- Giảm sự hình thành dimer mồi cho độ đặc hiệu cao
- Công nghệ khởi động nóng qua trung gian kháng thể
- Tương thích với tất cả các nền tảng PCR thời gian thực – điều kiện chu kỳ tiêu chuẩn và nhanh chóng
- Để phát hiện RNA, hãy sử dụng Clara Probe 1-Step Mix.














Đánh giá
Chưa có đánh giá nào.